Energia Eólica

Definição de Energia Eólica

Energia eólica é a energia gerada a partir dos ventos. Para gerar eletricidade, a turbina eólica capta uma parte da energia cinética do vento e a transforma em energia elétrica.

A geração de energia elétrica a partir dos ventos ocorre pelo contato deste com as pás do cata-vento, dando origem às forças de sustentação e de arraste, que transferem energia ao rotor do aerogerador. A quantidade de energia transferida é função da densidade do ar, da área coberta pela rotação das pás e da velocidade do vento.

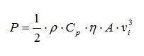
A potência teórica de uma turbina eólica pode ser indicada pela equação abaixo:

Potência Eólica

Sendo que:

ρ = densidade específica do ar (kg/m3)
Cp = coeficiente de potência
η = eficiência de conversão eletromecânica
A = área do rotor (m2)
vi = velocidade do fluxo de ar (m/s)

A eficiência de conversão eletromecânica é obtida no gráfico abaixo:

Eficiência de Conversão  - Energia Eólica

Em condições ideais, o valor máximo teórico de Cp é 0,593 (Coeficiente de Betz), ou seja, teoricamente 59,3% da energia contida no fluxo de ar pode ser extraída por uma turbina eólica.

Para que uma usina eólica seja instalada, é necessário um estudo das condições dos ventos do local. Esse estudo depende fundamentalmente de três parâmetros: direção, velocidade e frequência.

Como auxílio no estudo dessas áreas, utilizam-se anemômetros. Anemômetros são aparelhos que medem e registram continuamente a direção e velocidade dos ventos, permitindo a construção de gráficos que reproduzem a frequência do comportamento do vento em um determinado local.

Para que a energia eólica considerada tecnicamente aproveitável, sua densidade deve ser maior ou igual a 500 W/m2 a uma altura de 50m, o que equivale a ventos de 7 a 8 m/s (essas condições ocorrem em 13% da superfície terrestre).

Potencial Eólico do Brasil

Na figura abaixo, podemos visualizar o potencial eólico do Brasil:

Potencial Eólico do Brasil

Verifica-se que o maior potencial eólico do Brasil está na região nordeste.

Vantagens e Desvantagens da Energia Eólica

Como vantagens ambientais da energia eólica, pode-se citar a não necessidade da água como elemento motriz ou meio de refrigeração. Além disso, trata-se de uma energia limpa, sem emissão de poluentes. O parque eólico também pode ser utilizado para outros fins, como a pecuária ou atividades agrícolas.
Como desvantagens, pode-se citar impacto visual, ruído audível, interferência magnética, danos à fauna e alto custo (a desvantagem mais significativa).

Outro fato interessante da energia eólica é a possibilidade de complementaridade com a energia hidráulica, já que o período de menor vazão de alguns rios é também o período de maior incidência de ventos. Um exemplo do Rio São Francisco pode ser visualizado na figura abaixo:

Vazão do Rio São Francisco

Perspectiva Econômica da Energia Eólica

No Brasil, a participação da energia eólica na matriz energética é extremamente baixa. Hoje, só 1% da energia consumida vem dessa fonte. Entretanto, a capacidade instalada já se ultrapassa os 2,5 GW, conforme gráfico abaixo:

Evolução da Capacidade Instalada

Nos últimos anos, o setor eólico de tecnologia de ponta apresentou um crescimento médio de 25% ao ano. Acompanhando esse crescimento, a capacidade instalada de usinas eólicas aumentou consideravelmente, sendo que 60% dessas usinas estão na Europa.

A evolução da capacidade instalada mundial pode ser visualizada no gráfico abaixo:

Evolução da Capacidade Eólica do Mundo

Nos últimos 15 anos, o custo de instalação das usinas eólicas tem caído consideravelmente devido a três motivos principais: redução do preço das turbinas, melhor conhecimento da tecnologia e melhoria da eficiência e dos métodos de produção.

Custos da Energia Eólica

A distribuição dos custos iniciais de um projeto eólico pode ser visualizada abaixo:

Custos de um Projeto Eólico

Futuro da Energia Eólica

Até 2030, há previsão de reduções expressivas no custo da energia eólica. Em 2030, estima-se que o custo de investimento das usinas onshore (usinas em terra) deve cair na ordem de 60% do valor de 2000 e de 20% para as offshore (usinas em alto mar).

Além disso, de acordo com o Global Wind Report 2012, o mercado da América Latina crescerá impulsionado por Brasil, Chile e México até 16,51 GW em 2017.

Share Button

Add a Comment

O seu endereço de e-mail não será publicado. Campos obrigatórios são marcados com *